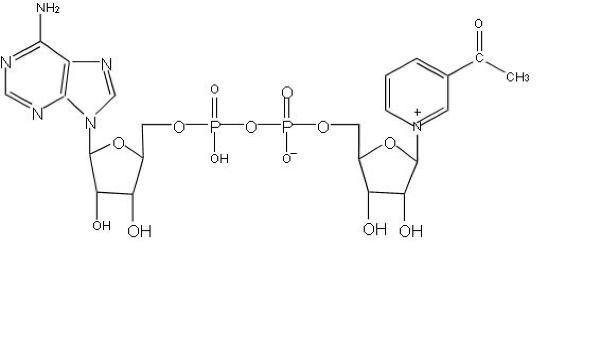
Ac-NAD
3-Acetylpyridine Adenine Dinucleotide


Item No.: AC-100

C.A.S. No.: 86-08-8

Chemical Formula: C
22H28N6O14P2

Chemical Name: Ac-NAD; Acetyl-NAD; 3-Acetylpyridine Adenine Dinucleotide; APAD

Chemical Structure:
Formula Weight: 662.4 (anhydrous molecular weight)

Specifications:

  • Physical Properties: light yellow powder

  • Purity: ≥ 72% based on anhydrous molecular weight.

    Note: Purity is determined by enzymatic reduction with alcohol dehydrogenase
    and ethanol using a molar absorptivity of 5729 at 340 nm for the reduced form of
    3-acetylpyridine adenine dinucleotide.

  • HPLC Analysis at 260 nm: 3-Acetylpyridine Adenine Dinucleotide 80%

Storage: Product is hygroscopic. Store product container tightly sealed below 0°C.