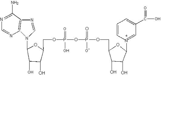
Deamido-NAD
Nicotinic Acid Adenine Dinucleotide


Item No.: NAAD

C.A.S. No.: 6450-77-7

Chemical Formula: C
21H26N6O15P2

Chemical Name: Deamido-NAD; NAAD; Nicotinic Acid Adenine Dinucleotide


Chemical Structure:
Formula Weight: 664.4 (anhydrous molecular weight)

Specifications:

  • Physical Properties: off-white powder

Storage: Product is hygroscopic. Store product container tightly sealed below 0°C.