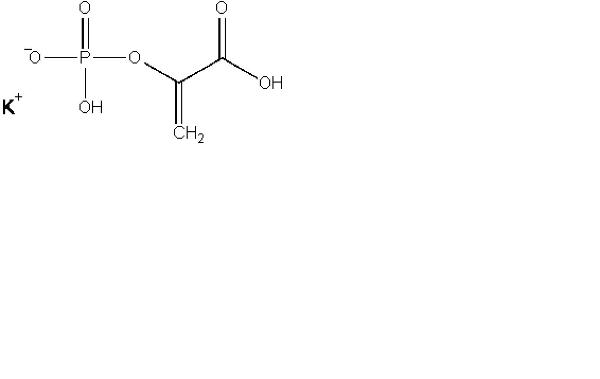
PEP-K
Phosphoenolpyruvate Monopotassium Salt


Item No.: PEP-K

C.A.S. No.: 4265-07-0

Chemical Formula: C
3H4O6P•K

Chemical Name: Phosphoenolpyruvate Monopotassium Salt

Chemical Structure:
Formula Weight: 206.1

Specifications:

  • Physical Properties: white powder

  • Purity: 93% based on molar absorptivity at 230 nm.

Storage: Store product container tightly sealed below 0°C.