S-NAD
Thionicotinamide Adenine Dinucleotide


Item No.: S-NAD

C.A.S. No.: 4090-29-3

Chemical Formula: C
21H27N7O13SP2

Chemical Name: S-NAD; Thio-NAD; Thionicotinamide Adenine Dinucleotide        

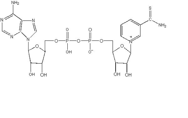
Chemical Structure:
Formula Weight: 679.5 (anhydrous molecular weight)

Specifications:

  • Physical Properties: light yellow powder

  • Purity: 78% based on anhydrous molecular weight.

    Note: Purity is determined by enzymatic reduction with glucose-6-phosphate
    dehydrogenase and glucose-6-phosphate using a molar absorptivity of 11,151 at
    405 nm for the reduced form of thionicotinamide adenine dinucleotide.

  • HPLC Analysis at 260 nm: Thionicotinamide Adenine Dinucleotide 90%

Storage: Product is hygroscopic. Store product container tightly sealed below 0°C.